|
× [PR]上記の広告は3ヶ月以上新規記事投稿のないブログに表示されています。新しい記事を書く事で広告が消えます。 |
|
ジストニアと関連があることだけど、私はギターが趣味なのだけれど、弾くのがしんどいほど、指に違和感があったり、痛みがあったりした。 まだちょっと痛いけどね。 たくさんハードな練習するのも練習の内だけど、指や関節、神経などを休ませるのも練習のうちだよな。 昔陸上部だったのだけれども、左膝の裏を痛めた。 その時、痛みを我慢して練習し続けて、結局10年以上経過した今でも、脚を酷使すると、痛む。 部活を引退したときに気付いていたんだよな、本当の我慢ってのは痛みを我慢して練習するんじゃなくて、練習を我慢して治療に専念するってね。 同じ過ちを繰り返してしまった。 人間は馬鹿で不完全だから同じことを繰り返すんだ。 このことを深く自覚して、常に自分を客観的に見る必要があるね。 あ、あと肝心のメージュ症候群やら眼瞼痙攣だけど、日記を書くのも面倒なくらい、回復してきた。 私は全身性ジストニアじゃないから分からないけれども、GABAを飲んだらいくらか楽になるかもしれないです。 GABAと脳の緊張や不安との関係の論文も見つけたし、GABAは医学的にも脳の興奮を鎮める作用があると証明されているようです。 論文をPDFでダウンロードしたけど、どのサイトにあったか忘れました。 とにかくGABAは効きます。 ただし、全ての人に効くかは分かりません。 私自身、すでに3回手術した後にGABAを飲み始めたので、まずはよく話を聞いてくれる勉強熱心な医師とよく相談してください。 主治医の名前を出したいくらいです、医学部卒でもない単なる理系卒の勉強熱心が取り柄だけの私の意見やレポートをよく読んで理解してくれました。 名前を出して感謝したいです。 年のせいか、涙もろいです。 ああいう医師ばかりだったらいいのに。 世の中一度も目を合わせないで診察を終える医師もいるので。 あ、ただ、頭痛はいまだにします。 あと、マイスリーがなくても眠れるようになりました。 そりゃそうですね、GABAにはリラックス効果もありますからね。 PR |
|
眼瞼痙攣って、ストレスが大いに関係があると思う。
ストレスが原因だと思う。 最近とある原因でストレス、主に怒りが溜まって、昨日は吐いたりして、ひどくイライラして今日は壁をハンマーで殴って凹ませたり、ストーブを蹴り上げたりした。 なんでこんなことやりたくないのに、してしまうんだろうと、涙を流して自分を責めたりもした。 すると左目がピクピクして最近調子よかったのにものすごくしんどい。 眼瞼痙攣とかメージュ症候群って放っておいていいのかも。 本来あるストレスから精神を守ろうと、人間の防衛本能が働いて、病気になる。 病は気からというのはそういうことだと解釈している。 眼瞼痙攣がよくなってきたことで、逆に日常のストレスが浮き彫りになって精神的に不安定になってしまった気がする。 今は逆に目のしんどさが悪化した。 これでいいのかもしれない。 ストレスが体に出る人はいい。 ストレスが体に出なければ、自傷行為をして痛みなどで気を紛らわせてストレスを解消する。 個人的には援助交際も自傷行為だと思ってる。 ストレスが溜まっても身体にも出ず、自傷行為もしない人は、溜まりにたまって重大犯罪を起こす。 重大犯罪を起こすか、目のしんどさを我慢するか、どちらを選ぶかと言ったら、目のしんどさを我慢したい。 |
|
今日からGABAを一日600mgにすることにした。
ogalandのRefresh GABA+Caってのを毎食後一錠飲む。 一錠にGABAが200mg含まれている。 薬としてGABAが普及したら、おそらくより少ない量でいいだろう。 あくまでサプリメントなので、血中濃度が安定しない。 GABAの濃度を一定に保つバッファーなんかがあるといいんだが。 飲んだ感想としては、ものすごく楽。 今日は車の運転をしたのだが、快適に運転できた。 以前なら眼がしんどくて苦痛だったのに。 昨年末なんて、友達とジャムセッションするのに、歩いてスタジオに行った。 友達には自転車できてもらった。 あの時のしんどさと比べると、ものすごく楽だ。 今朝のθなんて23.5°くらいだった。 昨晩は33.5°くらいだったのに。 あ、一ヶ月くらいデータを取り続けて、グラフにしてみようと思う。 あと、毎日テーピングで目を吊り上げるのも面倒だから、眼鏡で瞼を上げられないかなと思って探してたら、クラッチ眼鏡なるものを知った。 先に考案してたら特許取れたのに。 金払いたくないから自分で作る。 |
|
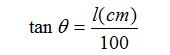
昨年末に目の角度がどれくらいになったらしんどくなるか、計算する方法を思いついてはいたが、今日までは放っておいた。
やることがなかったから、実際にやってみた。 方法は以下の通り。 ※前提として、背筋をまっすぐにし、直立し、壁と並行になるような姿勢とし、目をあけるのに純粋に必要な筋肉以外リラックスさせること(目をあけるのに眼瞼挙筋以外使わないこと)。 眼瞼下垂および痙攣などの、開瞼困難になる状態になるまでの具体的な数値(おおよその数値)を求めたい。 すなわち開瞼困難になるまでの目の角度θを求めたい。 身長をtcm、壁からくるぶしまでの距離(すなわち壁から眼球の位置まで)を100cm、頭のてっぺんから眼球までの長さを10cm(実際計測、多くの人が大抵10cm程度だろう)、とする。 そうすると、次のようにtanθが求められる。 私はt=175、h=112だったので、代入すると次のように計算できる。 ※tanθについては、次のサイトに載ってますので、数値から逆算してθを求めてください。 http://emath.s40.xrea.com/ydir/Wiki/index.php?%BB%B0%B3%D1%B4%D8%BF%F4%C9%BD 自分の場合、28°でしんどくなった。 昨年末に思いついた時点でさっさと計測しておくべきだった。 GABA飲み始める前と比較したかった。 ちなみに本日午後3時半に計測した。 左右の目で角度に違いが出るが、我々は片目だけで生活しているわけではないから、両目で計測することに意味がある。 この角度が小さくなっていき、0°に近づけば、経過は良好ということになってくる。 こういう数値はジストニア以外の眼瞼下垂や眼瞼痙攣の具体的な指標としても有効だろうと思われる。 普段生活している上で、28°よりも視線を下げて生活していれば楽なのかなと思う。 PCをするにも、本を読むにも、テレビを見るにも。 実際立ち姿勢のほうが楽だし、本を読むときは視線を下げるから楽。 普段テープで目を吊り上げていて、そのほうが楽なのだが、テーピングをしているときと、していないときの両方を計測した。 自分で計測して驚いた、テーピングをしても1°しか違わなかったという面白い結果になった。 1°くらいはおそらく誤差だろう、毎回測ったら毎回そういう誤差が出ると思う。 完全に脱力状態だと、有意な差は見られないようだ。 でもテーピングで目を吊り上げたほうが感覚としてはかなり楽である。 つまり、普段無意識のうちに前頭筋を使って目を開けるくせがあるようだ。 テーピングで目を吊り上げることにより、目が楽というか、目を開ける前頭筋や皺眉筋などが補助されて楽になるのだろう。 だから緊張性頭痛も少なくなるわけだ。 とても面白い結果だと思う。 この結果を受けると、眉上げ法や額の皮膚のリフトアップは全く意味がないわけではないが、あまり意味がないようだ。 自分一人だけの場合はhだけ求めて指標にすればよいのだが、万人に共通したデータを集める際には具体的な角度を求める必要があったので、こういう方法をとった。 次回病院に行くときに主治医にこのレポートを出そうと思う。 |
